type
status
date
slug
summary
tags
category
icon
password
1.1 微观粒子的运动特征🌟1.1.1黑体辐射和能量量子化1.1.2光电效应和光子假说1.1.3实物微粒的波粒二象性1.1.4不确定度关系1.1总结1.2量子力学基本假设🌟🌟🌟1.2.1波函数和微观粒子的状态1.2.2 物理量和算符1.2.3本征态、本征值和薛定谔方程1.2.4叠加态原理1.2.5泡利原理1.2总结1.3 箱中粒子的薛定谔方程及其解🌟🌟🌟1.3.1 箱中粒子1.3.2 隧道效应和扫描隧道显微镜
1.1 微观粒子的运动特征🌟
结构化学是研究单质、化合物、试剂和材料等各种化学物质,在原子和分子水平上的微观结构、运动规律、性能和应用的科学,是化学学科的重要理论基础。
1900年以前经典物理阶段:牛顿力学、麦克斯韦电磁场理论、吉布斯热力学和玻尔兹曼统计力学。
基本观点:
1.质量恒定,不随速度改变
2.物体的能量是连续变化的
3.光是波
4.物体有确定的运动轨道
但人们发现了一些新现象,经典物理无法解决,这些问题分别是:黑体辐射、光电效应、电子波性以及不确定性关系。
1.1.1黑体辐射和能量量子化
对应经典物理基本观点2
为了获得炼钢时铁水的温度,传统的温度计无法满足,于是科学家对一种物理现象——热辐射,进行了详细研究。
热辐射是由于物体由于具有温度而辐射电磁波的现象,热量传递的3种方式之一(另外两种是热传导和热对流),一切温度高于绝对零度的物体都能产生热辐射,任何物体在发出辐射能的同时,也不断吸收周围物体发来的辐射能。
热辐射的特点:
1、任何物体,只要温度高于绝对零度 ,就会不停地向周围空间发出热辐射;
2、可以在真空和空气中传播;
3、伴随能量形式的转变;
4、具有强烈的方向性;
5、辐射能与温度和波长均有关;
6、发射辐射取决于温度的4次方。
当一物体受到其他物体投来的辐射总能量为Q,被吸收转化为热能的为,又反射出去的能量为,透过的能量为
现实生活中不存在黑体,但可用人工制作接近于黑体的模拟物。即在一封闭空腔壁上开一小孔,任何波长的光穿过小孔进入空腔后,在空腔内壁反复反射,重新从小孔穿出的机会极小,即使有机会从小孔穿出,由于经历了多次反射而损失了大部分能量 。

对黑体的研究发现了一些定律:
基尔霍夫定律
斯特藩-玻尔兹曼定律:
维恩位移定律:
瑞利-金斯公式:紫外灾难
1900年普朗克在深入分析实验数据和经典力学计算结果的基础上,提出假设。
1.黑体中分子或原子在辐射能量时做简谐振动
2.发射或吸收的能量只与频率有关(经典力学认为,与振幅有关),为,其中n为正整数
3.不同能量的出现概率为
统计物理学上可得到单位时间、单位表面积上的辐射能量为
描线拟合结果如下,得到h的数值

普朗克能量量子化假设的提出,标志着量子理论的诞生
1.1.2光电效应和光子假说
对应经典物理观点3

光电效应:光照在金属表面上使金属发射电子的现象,金属中的电子从照射光获得足够的能量而逸出金属,称为光电子。
已被证明的现象:
1.照射光频率 时金属才能发射电子,且不同金属的不同,大多数位于紫外区
2.照射光强增加,发射的光电子数增加,但不影响光电子动能
3.照射光频增加,光电子动能增加
经典物理观点认为两束光比一束光的能量大,只要增加单位面积光束的数量,光电子的动能就会增加,与现象不符。
1905年,爱因斯坦提出光子学说,内容如下:
1.每一种频率的光都有一个最小的能量单位,称为光子,光子能量(光的波性)
2.光不但有能量,还有质量,静止质量为0.联立质能方程得
3.光具有动量(光的粒性)
4.光的强度决定单位体积内光子的数目
光子学说很好的解释了光电效应现象。
1.1.3实物微粒的波粒二象性
对应经典物理观点4
1924年德布罗意(王子)受波粒二象性的启发,提出实物粒子也具有波粒二象性,实物粒子所产生的的波为德布罗意波。
波动速度的两个概念相速度和群速度
相速度u是波函数\varphi位相运动的速度,实物微粒的波动能量由概率密度函数体现,位相速度为

白色为群速度,黄色为相速度

1926年波恩提出了实物微粒波的统计解释,空间任何一点波强(振幅的平方)和粒子出现的概率成正比,并将这种波称为概率波。
1.1.4不确定度关系
对应经典物理观点4
1927年海森堡提出不确定原理:微观体系中的共轭物理量(动量与坐标,方位角与动量矩,时间和能量)不能同时被准确测定,若其中一种物理量被测定的越精确,则其共轭物理量被测的越不准确。
为了彻底理解不确定关系,需要学习傅里叶变换(目前还没学)。
我的理解是同时确定动量和位置相当于同时确定位置和频率,而根据概率波的引入,认为这两个物理量是都是一种类似于正态分布的概率波。又因为这两个物理量是满足一定关系——共轭,使得当一个正态分布图像变得“瘦高”时,另一个就会变得“矮胖”,即无法同时“瘦高”,无法同时精确确定。

1.1总结
相较宏观物体,微观粒子所具有的特性:
1.没有同时确定的坐标和动量,其运动规律需用量子力学描述
2.具有概率分布的特性,不可能分辨出各个粒子的轨迹
3.只能处于某些特定的能量状态,能量的的改变是量子化的
4.宏观物体不确定性关系中h可以看做是0,而微观粒子的h不能看做0。不确定关系式可作为区分宏观物体与微观粒子的判别标准,直径处于纳米量级的粒子处于两者的过渡态。
1.2量子力学基本假设🌟🌟🌟
量子力学是描述微观体系运动规律的科学,它充分体现了微观粒子波性和粒性的对立统一及相互制约,是自然界基本规律之一。量子力学包含若干假设,并据此推导出一些结论,预测出很多实验事实,未出现反例。
[题外话]在接触到量子力学的基本假设的时候,如果我们缺乏线性代数基础,我们可能会对一些莫名引入的数学概念感到疑惑,接下来我将用一个例子来说明我对这些概念的粗浅理解——让我们更容易找出规律
例:我们中学知道
计算时我们会将其转化为再进行展开
计算,然后再继续一步步展开,
计算,然后再继续一步步展开
仅仅展开的过程中我们就意识到好麻烦啊,有没有哪位数学大神可以告诉我这个东西的规律啊,告诉我
一些数学家发现仅仅用实数范围内的数字是可以写出这个规律的,但公式写出来可能会有一点点麻烦或者很不简洁,一点都不“美”。于是数学家发现数学工具里复数的概念很合他们的口味,于是利用欧拉公式找到了这个规律:
两个复数相等,实部等于实部,虚部等于虚部就可以求出和,得可以得到
可能一些数学公式的推导不是很严谨,但由于使用复数概念,我们可以更好的找出这个规律。同样我们在量子力学基本假设中接触到的一些概念,很大程度上是为了让问题研究起来更具规律,更成体系。
1.2.1波函数和微观粒子的状态
假设一 对于一个微观体系,它的状态和该状态所决定的物理性质可用波函数表示。

图中机械波的波动方程的表达形式
根据
但对于电磁波和光波等,若其波动方程为,
则其转化为复指数形式为 (此式为平面单色波的波动方程,取的欧拉公式的实数部分),该定理可被麦克斯韦方程组证明。
根据波粒二象性关系得
定态波函数:不含时间的波函数
:的共轭复数
:复数的模,正比于波的强度,即概率密度,就是我们所说的电子云
:概率,概率密度对空间积分
满足的三个条件:
1.单值,每一点只有一个值
2.连续,的值不突跃且对x,y,z的一阶微商也是连续函数
3.平方可积,(常数),通常要求波函数归一化,即
反例:不满足平方可积

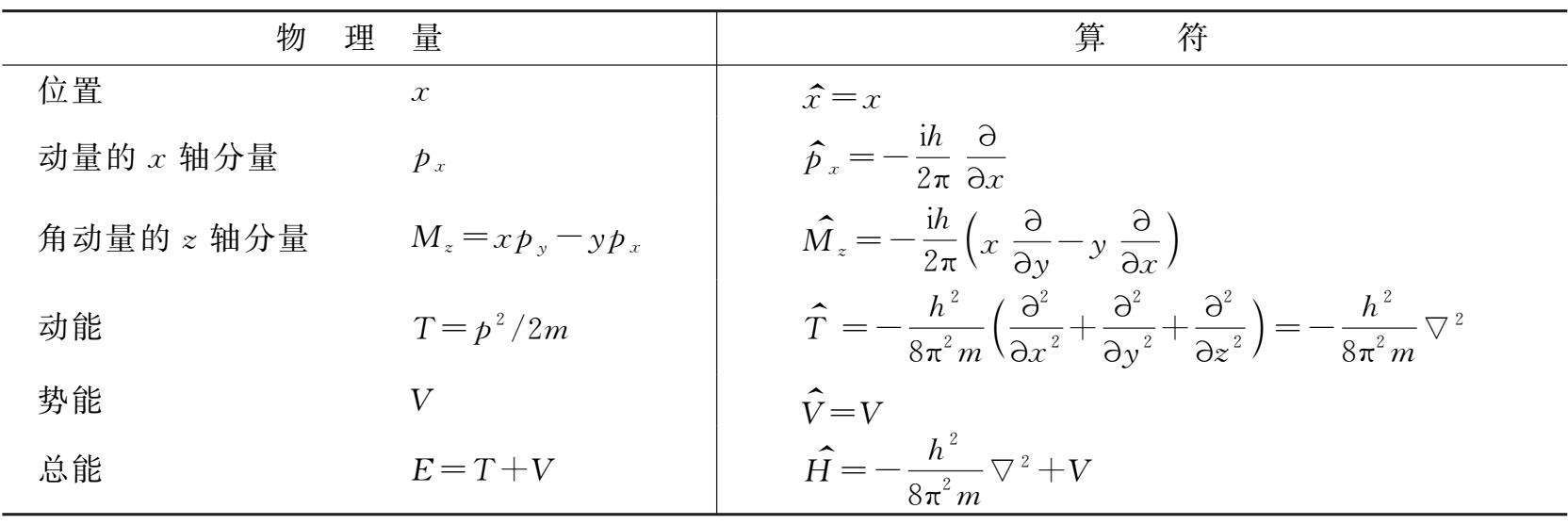
1.2.2 物理量和算符
假设二 对一个微观体系的每个可观测量的物理量都对应着一个线性自轭算符。
算符:使问题从一种状态变化为另一种状态的手段
狭义理解:
举例:
”对x求导“的算符写成符号为
原式可以写成:“” 的形式
算符的定义非常广,如
为了区分物理量和其对应的算符,我们把物理量A的的算符写作
一些算符满足一些特殊的关系,如“分配率”,则称为线性算符
若满足下面这种情况,则称为自轭算符,又称厄米算符(满足的同时会有些特殊的性质,假设三讲到)
举例
算符的来源(非严格)
以平面单色波的波动方程为例:
1.首先我们了解到了一个波函数,这个函数是通过物理的其他理论解出来的
2.然后我们观察这个波函数,发现里面有一些物理量,如动量p、能量E。我们想获得这个具体的数值,于是我们对式子进行整理,得到了物理量对应的算符
其他的物理量算符如下

1.2.3本征态、本征值和薛定谔方程
回想我们假设二讲到的“” 的形式
在众多算符中,有一些特殊的算符满足
例如
我们称为本征方程、常数a为本征值、为本征态。
假设三 若某一个物理量A的算符作用于某一状态函数\psi等于某一常数a乘以,即
那么对所描述的微观状态,物理量A有确定的数值a。a为物理量算符的本征值,称为的本征态或本征波函数,这个式子被称为本征方程。
自轭算符的性质
1.自轭算符的本征值是实数
证明如下
两边同时取共轭
对上面两式分别进行空间积分
根据自轭算符满足的关系
得
所以
即a是实数
2.微观体系下,对求解,得到一些本征波函数(这些本征函数全是在描述同一个粒子,类似于一个粒子的不同能级1s、2s、2p),这些波函数满足正交归一性
(1)归一性:空间积分为1,即概率为1。
(2)正交性:“垂直”
证明:
任意取其中两个不同的波函数
对第一个求共轭
求空间积分
根据自轭算符满足的关系
得到
又因为,所以得到
哈密顿算符
保守体系的总能量E在经典物理中用H表示,其中
根据动能算符和势能算符可以求得哈密顿算符
所以对于哈密顿算符对应的本征方程,即薛定谔方程为
含时间的薛定谔方程为
1.2.4叠加态原理
假设四 若为某一微观体系的可能状态,则由它们线性组合所得的也是该体系可能存在的状态即
等值的大小反应了对的贡献,且代表了在中占的百分数,即权重。
本征态物理量的平均值
所以若对应的本征值为,则物理量A的平均值满足
非本征态物理量的平均值
1.2.5泡利原理
假设五 在同一原子轨道或分子轨道上,最多只能容纳两个电子,这两个电子的自旋状态必须相反。或者说两个自旋相同的电子不能占据同一个电子轨道。
量子力学表达:多电子体系轨道运动和自旋运动的全波函数,对任意两个电子的全部坐标(空间坐标x,y,z和自旋坐标)进行交换,一定得到反对称的波函数。
对于具有n个电子电子的体系,完全波函数应为
费米子 | 玻色子 | |
自旋量子数 | 半整数 | 整数 |
粒子满足规律 | 泡利原理 | 可以处于相同状态 |
全同粒子波函数 | ||
统计规则 | 费米-狄拉克统计 | 玻色-爱因斯坦统计 |
种类 | 电子、质子、中子 | 光子、介子、氘、粒子 |
1.2总结
1.我有波函数
2.我有算符
3.我可以将算符作用到波函数
4.我的波函数可以由其他波函数组成
5.我的波函数还需要个自变量
1.3 箱中粒子的薛定谔方程及其解🌟🌟🌟
本节主要通过势箱中的粒子,来说明量子力学处理微观体系的步骤以及其的应用
1.3.1 箱中粒子
势箱:也称势阱,指的是粒子在某力场中运动,势能函数曲线在空间的某一有限范围内势能最小,形如陷阱。就是电子的势能图像类似一个波的形状,那么当电子处于波谷,就好像处在一口井里,比较稳定,很难跑出来,所以称为势井或势阱。

一维势箱中粒子是指一个质量为m,在一维方向上运动的粒子
写出势能函数
取一种极限的情况,电子的势能V满足

该模型被称为一维无限深势箱或一维无限深势阱(听着挺唬人,但其实就是电子的势能满足一个分段函数)
由于电子要从白色区域()到达黑色区域()需要无穷大的能量,根本不可能,所以电子只能在白色区域运动,在黑色区域的概率为0。
带入薛定谔方程
[二阶常系数齐次线性微分方程解法]
标准形式
写出特征方程
根据判别式得到通解
解得薛定谔的方程为
根据势能方程的边界条件
所以得到
带入\
归一化
故
从这个函数我们可以得到一些信息:
1.得到各能级的能量、波函数、概率密度

2.能量是量子化的,能量存在最小值,这个能量被称为零点能。
零点能的存在是不确定原理的必然结果
能量最低的状态称为基态,基态的能量即为零点能
3.处于激发态时,存在节点(=0的点),节点数目为n-1
综上,量子力学处理箱中粒子即受一定势场约束的粒子时,具有一些共同特征(量子效应):
(1)粒子存在多种状态
(2)能量量子化
(3)存在零点能
(4)没有运动轨道,只有概率分布
(5)存在节点,节点数越多能量越高
将算符作用于波函数
(1)位置
(2)动量
无本征值
(3)动量的平方
综上我们处理的方法是
除了一维势箱还有二维势箱、三维势箱

解法为变数分离
三维势箱最后解得波函数为
这里面的三个量子数其实就类似我们之前学的四个量子数。是直角坐标系下坐标,四个量子数的其中三个对应的球坐标系下坐标,另一个量子数对应的自旋。
1.3.2 隧道效应和扫描隧道显微镜
隧道效应:又称势垒贯穿,是由微观粒子波动性所确定的量子效应。
经典力学中,当粒子运动遇到一个高于粒子能量的势垒,是不可能越过势垒的;但量子力学中,势垒的出现会降低粒子在此处出现的概率,但降低存在一个过程即,只要这个势垒的“厚度”小于,粒子存在出现在势垒外的概率,这在本质上介绍了现在的芯片制程存在极限。

- 作者:XUPIPI
- 链接:https://tangly1024.com/article/aa4a3d90-b769-4f0b-bb9b-705c9413e8b3
- 声明:本文采用 CC BY-NC-SA 4.0 许可协议,转载请注明出处。